上海金畔生物科技有限公司代理日本同仁化学试剂盒全线产品,欢迎访问日本同仁化学dojindo官网了解更多信息。
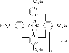
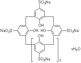
Calix[6]arene p-sulfonic acid, hexasodium salt, hydrate
19 その他の生化学、分析用試薬
Calix[6]arene p-sulfonic acid, hexasodium salt, hydrate
![分析用試薬: 低分子化合物の包接 Calix[6]arene p-sulfonic acid, hexasodium salt, hydrate](http://www.jinpanbio.cn/wp-content/uploads/2022/04/20220401_6246c3165eada.gif)
- その他の生化学、分析用試薬
分析用試薬: 低分子化合物の包接
-
製品コードC392 Calix[6]arene p-sulfonic acid, hexasodium salt, hydrate
-
CAS番号96107-96-9
-
化学名Calix[6]arene p-sulfonic acid, hexasodium salt, hydrate
-
分子式・分子量C42H30Na6O24S6・xH20
(分子量は無水物として計算)=1249.01
| 容 量 | メーカー希望 小売価格 |
|---|---|
| – | ¥特注品 |
試験成績書
SDSダウンロード
- ご購入方法
- お問い合わせ
参考文献
参考文献を表示する
1) S. Shinkai, S. Mori, H. Koreishi, T. Tsubaki and O. Manabe, "Hexasulfonated Calix[6]arene Derivatives: A New Class of Catalysts, Surfactant, and Host Molecules", J. Am. Chem. Soc., 1986, 108, 2409.
2) T. Morozumi and S. Shinkai, "Induced Circular Dichroism Detection of Chiral Ammonium Guests through Inclusion in Calix[n]arenes Cavities", J. Chem. Soc., Chem. Commun., 1994, 1219.
3) T. Morozumi and S. Shinkai "A Novel "Reading-Out" System for Amino Acid Chirality in Water-Soluble Calix[n]arenes", Chem. Lett., 1994, 1515.
取扱条件
| 1.保存方法:冷凍 |
SDSダウンロード
![分析用試薬: 低分子化合物の包接 Calix[6]arene p-sulfonic acid, hexasodium salt, hydrate](https://www.dojindo.co.jp/products/html_set/common/sds-download-arrow.png)
![分析用試薬: 低分子化合物の包接 Calix[6]arene p-sulfonic acid, hexasodium salt, hydrate](http://www.jinpanbio.cn/wp-content/uploads/2022/04/20220401_6246c316bbc8b.gif)