日本同仁化学ペプチド合成の縮合剤 WSC 

上海金畔生物科技有限公司代理日本同仁化学试剂盒全线产品,欢迎访问日本同仁化学dojindo官网了解更多信息。

ペプチド合成の縮合剤 WSC WSC

19 その他の生化学、分析用試薬

WSC

ペプチド合成の縮合剤 WSC 

  • その他の生化学、分析用試薬

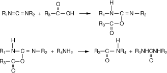
ペプチド合成の縮合剤

  • 製品コード
    W001  WSC
  • CAS番号
    25952-53-8
  • 化学名
    1-Ethyl-3-(3-dimethylaminopropyl)carbodiimide, hydrochloride
  • 分子式・分子量
    C8H18ClN3=191.70
容 量 メーカー希望
小売価格
富士フイルム
和光純薬
5 g ¥6,600 348-03631
25 g ¥22,800 346-03632
100 g ¥67,600 344-03633
  • ペプチド合成の縮合剤 WSC 
試験成績書

SDSダウンロード

  • ご購入方法
  • お問い合わせ

技術情報

応用例

1)環状ヘキサペプチドの縮合反応。
2)DNA結合タンパク質のアミノポリスチレンへの結合反応。
3)リゾチーム中のアスパラギン酸の選択的修飾。
4)抗原のキャリヤータンパク質への結合。
5)125Iラベル化ラット成長因子と受容体の架橋反応。

ペプチド合成の縮合剤 WSC 

参考文献

参考文献を表示する

1) J. H. Saunders and R. J. Slocombe, "The Chemistry of the Organic Isocyanates", Chem. Rev., 1948, 45, 203.
2) R. J. Slocombe, Edgar E. Hardy, J. H. Saunders and R. J. Jenkins, "Phosgene Derivatives. The Preparation of Isocyanates, Carbamyl Chlorides, and Cyanuric Acid", J. Am. Chem. Soc., 1950, 72, 1888.
3) K. D. Kopple and D. E. Nittecki, "Reactivity of Cyclic Peptides. II. Cyclo-L-tyrosyl-L-histidyl and Cyclo-L-tyrosyltriglycyl-L-histidylglycyl", Org. Biol. Chem., 1962, 84, 4457.
4) H. Ozawa, "Reaction of Insulin with Ethyl Glycinate and 1-Ethyl-3-(3-dimethylaminopropyl)carbodiimide", Biochemistry, 1970, 9, 2158.
5) T. Y. Lin, "Lactose Synthetase. Modification of Carboxyl Groups in α-Lactalbumin", Biochemistry, 1970, 9, 984.
6) J. C. Sheehan and S. L. Ledis, "Total Synthesis of a Monocyclic Peptide LactoneAntibiotic, Etamycin", J. Am. Chem. Soc., 1973, 95, 875.
7) M. E. Addy, G. Steinman and M. F. Mallette, "A Problem in the Mechanism of Carbodiimide-Mediated Synthesis of Peptides in Aqueous Medium", Biochem. Biophys. Res. Commun., 1973, 52, 1034.
8) A. Williams and I. T. Ibrahim, "A New Mechanism Involving Cyclic Tautomers for the Reaction with Nucleophiles of the Water-Soluble Peptide Coupling Reagent 1-Ethyl-3-(3-(Dimethylamino)Propyl)Carbodiimide(EDC)", J. Am. Chem. Soc., 1981, 103, 7090.
9) H. Yamada, T. Imoto, K. Fujita, K. Okazaki and M. Motomura, "Selective Modification of Aspartic Acid-101 in Lysozyme by Carbodiimide Reaction", Biochemistry, 1981, 20, 4836.
10) J. W. Chase, B. M. Merrill, and K. R. Williams, "F Sex Factor Encodes a Single-Stranded DNA Binding Protein (SSB) with Extensive Sequence Homology to Escherichia Coli SSB", Proc. Natl. Acad. Sci. USA, 1983, 80, 5480.
11) J. V. Staros, R. W. Wright and D. M. Swingle, "Enhancement by N-Hydroxysulfosuccinimide of Water-Soluble Carbodiimide-Mediated Coupling Reactions", Anal. Biochem., 1986, 156, 220.
12) M. Taniuchi, H. B. Clark and E. M. Johnson Jr., "Induction of Never Growth Factor Receptor in Schwann Cells After Axotomy", Proc. Natl. Acad. Sci. USA, 1986, 83, 4094.
13) M. Taniuchi, J. B. Schweitzer and E. M. Johnson Jr., "Never Growth Factor Receptor Molecules in Rat Brain", Proc. Natl. Acad. Sci. USA, 1986, 83, 1950.

取扱条件

規格
性状: 本品は、白色粉末で水、塩化メチレンには溶けるが、ヘキサン及びエーテルには不溶である。
純度(滴定): 98.0% 以上
水溶状: 試験適合 0.025 以下(400 nm)
塩化メチレン溶状: 試験適合
融点: 113~121℃
IRスペクトル: 試験適合
取扱条件
1.吸湿注意
SDSダウンロード
ペプチド合成の縮合剤 WSC 

関連製品