| 产品编号 | 产品名称 | 产品规格 | 产品等级 | 产品价格 |
| 无 | TRIAM-605 | 无 | – | – |
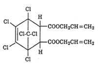
TRIAM-605(Diallyl chlorendate)
中文名称:氯菌酸二烯丙酯
CAS NO.:3232-62-0
英文缩写:无
◆物理性质
|
外观 |
形状:液体 |
|
融点 |
– |
|
溶解性 |
水:不溶 |
◆相关法规·安全性
|
消防法 |
危险品第4类第4石油类(非水溶性液体) |
|
剧毒物及剧毒物取缔法 |
– |
|
化审法 |
4-622 |
|
安卫法 |
公开化学物质 |
|
变异源性 |
– |
|
经口毒性(LD50) |
– |